Free shipping* on website orders over $100 | $15 shipping on orders over $50. (Laminate Panels and sheet foam are excluded from free shipping.)

Search
Home / Blogs / Electronic Components / How do you manage your Thermal Budget?

How do you manage your Thermal Budget?

  • 5 min read

Managing a Thermal Budget

By Peter VowellWhen electrical devices are running, they consume energy to perform a certain task. But when devices utilize that electrical energy, they convert much of it into a different form - heat. The IoT and wireless revolution has pushed devices to become smaller than ever, making heat management even more important. Without a properly managed thermal budget, modern devices risk overheating to a point of critical failure.

Heat sinks can drastically improve device performance. Often, the limiting factor in cooling is the contact area between a cooling medium (usually air) and the device itself. Heat sinks change this, by dissipating heat evenly throughout the heat sink and providing a much larger surface area for the cooling medium to contact. While the size of the heat sink may be the most obvious contributor to the cooling phenomena, there are a few other concepts you should be aware of as well.

Factors to Consider

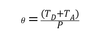
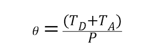
Preciseheat dissipation can be hard to anticipate. Perhaps the most crucial concept to consider is that of thermal resistance. To better understand this idea, we’ll have to perform some simple mathematics.  Thermal resistance can be defined as:

Where θ is the thermal resistance, Tis the temperature of the active electronic device, TAis the ambient temperature (temperature of the surrounding air), and P is the power dissipated by the device. Ideally, the thermal resistance should be as low as possible, to allow for an uninhibited “flow” of heat. It is important to note that as the power inputted into the device increases, the operating temperature of the device will also increase, and not always linearly. The device heat may increase much faster than the device wattage, which would negatively affect your thermal resistance. This relationship is one that you will have to determine for each specific device you wish to manage, and should be one of the first steps whenperforming analytics on a given component.Beyond power and ambient temperature, one should consider the material makeup of the heat sink as well. Different materials can inherently handle different thermal loads. Some materials can conduct heat extremely efficiently but have very low melting temperatures, making them unusable in electronics. Others can withstand very high temperatures, but don’t have the necessary thermal conductivity. Aluminum is the most common material used for heat sinks, and is available relatively cheaply. On the higher end sits copper, with an inherent thermal conductivity almost double that of aluminum. While it comes at a higher price, it may be worth it if it allows for more stable device operation.

Another important concept to consider is the thermal resistanceat component interfaces. A heat sink must be applied to some given electrical component, and how to go about this correctly is a topic of much debate. Usually a paste or adhesive must be utilized, and the thermal conductivity of this connector can potentially degrade the thermal efficiency of the entire system. In addition to choosing an appropriate application material, an appropriate application pressure must be found. Apply too little pressure, and the heat sink won’t sit right, minimizing the contact between the heat sink and the device, as well as leaving room for potential air pockets. Apply too much pressure, and you could risk damaging the component. It’s a tricky affair, and decisions need to be made for each individual use case, rather than trying to apply one generic solution across the board.

Types of Cooling

There are two different overarching methods when it comes to cooling electronics:passive cooling andactive cooling. Typically, a combination of the two are used, to optimize performance while still remaining power-conscious.

Passive Cooling

Passive cooling doesn’t consume any more power to cool the system. Adding a heat sink to a CPU would be considered passive cooling; it just distributes the heat over a larger area, but doesn’t consume any more power in doing so. It’s a crucial part of most modern electronic systems, and is considered the first line of defense against heat damage.

Passive cooling can also be achieved by reducing the inputted power into the system. This is a bit more of an advanced cooling method, and is usually controlled via an onboard power management system. It requires integrated temperature sensors and some sort of firmware-level access to change the operating voltage. When a computer system detects that it is running too hot, it can respond by decreasing the system power. While this will ensure the component in question doesn’t overheat, it will also slow down the operating and processing speed. Because of this, passive cooling via power reduction should only be considered either when operating speed is not a concern, or when active cooling is inadequate on its own.

Active Cooling

Active cooling is power-consuming, but can be much more effective than a system that only includes passive cooling. Adding a fan to a heat sink would be considered an act of active cooling. Unless there are stringent power consumption concerns for your system, active cooling should be considered, at least as an emergency fail-safe.

Blowing air over a heat sink helps to cool it faster. This can be explained by expanding upon the previous section. If you refer to the definition of thermal resistance, you’ll remember that the ambient temperature plays a large role. The equation for thermal resistance doesn’t tell the whole story however - it doesn’t consider time. If a heat sink is only cooled by the ambient air around it, cooling will be relatively slow. If air is blown over the heat sink however, cooling speed increases, because more cool air is hitting the heat sink per unit time. This is the basis for active cooling. By controlling how much air flows during any given amount of time, you can control component temperature much more accurately.

The decision on whether to use only passive cooling or a combination of active and passive depends largely on the use case. One of the things many people fail to consider when designing a system is noise. If you are building a server farm, then the temperature and operating speed is most likely the largest concern. In this case, having large, high speed fans would be an appropriate solution, as noise is of little concern. In contrast, noise might be a major concern if you are the owner of an internet cafe. You want to create a certain aesthetic, and this would most certainly be marred by the presence of loud and intrusive fans. Each use case should be analyzed separately, taking care to consider the environmental factors in addition to the impacts on the system.

Managing a thermal budget is not a straightforward affair. Engineers must consider things like ambient temperature, system power, material properties, and component interfaces. In addition, designers need to make decisions on whether to use active or passive cooling, considering not just power versus efficiency but noise pollution as well. There is no all-inclusive solution, and each electrical component or system requires a unique solution. However, with careful consideration and a little bit of math, you can confidently find the right answer to fit your needs.